惯性系

本文是这个专栏最后一篇。一方面是女儿如愿考上理想中的高中了,而高中的东西我大部 分也还给老师了,也教不了了。另一方面呢,我回顾整个初中的教育过程,感觉最失败的 还是我提供的帮助太多了,我讲的越多的,她对那个主题得到的越少。高中不再应该是我 去给她总结了,而应该是她给自己总结了。用专栏上一篇的说法,现在是她用正兵,我用 奇兵的时候了。我可以帮忙挑破绽,不会再帮忙建逻辑了。否则只是害了她。

作为结束,我讨论最近讨论的一个物理问题作为对高中学习的一个启动帮助吧:

如下图A、B、C组成一个物理系统:

../_images/物理系统.jpg

C静止,当B沿着斜面C匀速向下滑动的时候,A和B的凹槽两端是否有作用力和反作用力的存 在?答案是显而易见的:当然没有,因为C是一个惯性系,A、B相对惯性系(C)做匀速直 线运动,所以A,B是一个惯性系,A、B符合所有牛顿定律,也就是说,我们不用管B和C是 啥关系,反正就是一个静止的B上放了一个静止的A,这只有重力和支持力在互相作用,和 凹槽两壁显然没有关系。

初中生容易对此非常迷惑:B明明在动啊,怎么会按静止来考虑的?学经典物理,特别是中 学的经典物理,很容易有一个错觉,我们经常会以为我们无所不能,以为我们掌握了计算 任何运动状态的学问。但其实我们解的那些题目,经常是有条件的,比如我们这里要求AB 这个系统在匀速下滑,但其实,这个系统在实验中真要保持匀速下滑,是非常困难而且无 法保持的。

如果我们做这个实验,现实中其实我们总要控制AB从静止变成运动的过程,那其实是个加 速的过程,在那个阶段里,AB并非惯性系。而我们人的直觉更多来自静止到运动的那个过 程,而不是匀速运动的过程。这样我们有个错觉,觉得我们推动B的时候,A是对B有阻碍的 ,但A对B的阻碍来自B的加速,完成加速后,其实我们无法感受这一点(因为你一旦感受到 了,说明AB对你就有作用力,而你就对AB这个系统造成阻力了),这样,你觉得在匀速的 时候A还能对B造成影响,其实是加速时给你制造的错觉。

物理、化学、数学、乃至高级一点的语文,都需要超越感官,理智思考的能力(但观感是 我们理智思考的基础)。

所以,你要学习好高中,乃至大学的知识,就要做好准备了,我们是在学习越来越稀疏的 知识,这些知识很多时候只在特定的“限定”条件下有效。这时,理智要超越感官,像过去 我们说的,要“严格按定义进行逻辑推演 ”,要按理智和逻辑来分析问题,而不是 按感官和“差不多”来讨论问题。这种时候,按“正”来建立逻辑,保证逻辑链面面俱到,按 奇来找到路径,消除每个破绽。这是我们学习必须学会的能力了。简单说:多把一个问题 的各个外延都推演出来,然后进行总结,把每个知识都吃透,这样才能真正掌握高中乃至 大学的知识,在这种模型下,求多,简单刷题,是没有意义的。静心自己推演一个逻辑链 或者一道题,比你做一本练习册都有意义。

其实,现代科学基本上是建立在各种洞上面的,我们发现了它在某种条件下呈现那个特性 ,我们就主动让它进入那种条件,从而利用它的能力,而不是我们在建立一个“什么都能解 释”的模型。我们是看到二极管在-xxV的时候呈现电压不变的特性,我们就故意让它成为这 个电压的下的稳压二极管:

../_images/稳压二极管伏安特性.jpg

而不是说,我们可以任意控制制造二极管能稳压哪个电压。但这毫不影响我们靠这样的基 础方法制作出复杂的电脑,手机,和卫星。

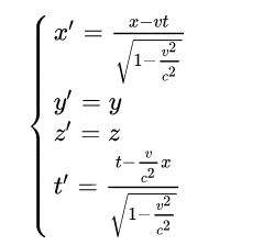
最后,再说说吃透这个问题,所谓吃透,就是要从各个层面去挑现有模型的逻辑破绽。就 说这个惯性系的问题。首先,我们需要思考一下:到底什么是惯性系?——匀速直线运动的 东西组成的参考系就是惯性系——很多人第一时间想到的是这个,但这个其实不是定义。随 便想深一点就能发现破绽:“匀速直线运动”?相对谁呢?所以这其实是个定律,而不是个 定义:相对惯性系做匀速直线运动的参考系,才是惯性系。但这相当于循环定义惯性系了 。所以惯性系不是这样定义的,查查资料,你就发现惯性系的定义其实很流氓:“惯性系是 符合牛顿三大定律的参考系”,这其实看起来是没法完全举证的一个定义。你永远都无法证 明你所在的参考系就是惯性系。但知道它有这个问题,而且知道你怎么用它,就是你的“吃 透”——虽然你无法完全判断一个参考系是不是惯性系,但我们至少暂时是承认地球是一个惯 性系的。我们就可以解决地球的问题,然后还可以解决相对地球做匀速直线运动的东西( 比如一列封闭的火车)的问题。这样,我们才摸到了问题的边界,这样我们对这个问题就 是有自信的。等你能完全立稳这里的逻辑了,你就开始可以理解高级的概念了。比如狭义 相对论里面就挑到这里的破绽了:我们认为时间是绝对的,在A惯性系上的时间t,在B惯性 系上也是t。但这个只是我们根据低速时的“经验”,“感觉”出来的。实际测量的结果是:

当A和B相对高速运动(和光速可比的时候)时候,他们的时间流逝的速度是不同的,并不 存在一个对A和B都可用的“绝对时间”。这并不符合你的“观感”,但你的观感从来都是有限 的(比如光速的东西你本来就看不见它飞过),你是通过逻辑链去延伸你的基础观感。下 面这个就是两个惯性系之间速度和时间的关系公式(洛伦兹变换):

../_images/洛仑兹变换.jpg

我们突破不了自己的感官,但逻辑延伸了我们的感官。

跨过这个坎,能明白这些基本的逻辑,恭喜你,你终于成为一个真正意义上的“现代人”了 ,加油吧。