你好,我是黄申。今天我们来聊聊矩阵操作和推荐算法的关系。
我这里说的推荐,是指为用户提供可靠的建议、并协助用户挑选物品的一种技术。一个好的推荐系统需要建立在海量数据挖掘基础之上,并根据用户所处的情景和兴趣特点,向用户推荐可能感兴趣的信息和商品。
协同过滤(Collaborative Filtering)是经典的推荐算法之一,它充分利用了用户和物品之间已知的关系,为用户提供新的推荐内容。我会从这种二元关系出发,给你讲讲如何使用矩阵计算,来实现协同过滤推荐算法。
用矩阵实现推荐系统的核心思想
矩阵中的二维关系,除了可以表达图的邻接关系,还可以表达推荐系统中用户和物品的关系。如果你不懂推荐系统,不用急,我这里先给你简单讲讲它的核心思想。
简单地理解就是,推荐系统会根据用户所处的场景和个人喜好,推荐他们可能感兴趣的信息和商品。比如,你在阅读一部电影的影评时,系统给你推荐了其他“你可能也感兴趣的电影”。可以看出来,推荐系统中至少有2个重要的角色:用户和物品。用户是系统的使用者,物品就是将要被推荐的候选对象。
例如,亚马逊网站的顾客就是用户,网站所销售的商品就是物品。需要注意的是,除了用户角色都是现实中的自然人,某些场景下被推荐的物品可能也是现实中的自然人。例如,一个招聘网站会给企业雇主推荐合适的人才,这时候应聘者承担的是物品角色。
而一个好的推荐算法,需要充分挖掘用户和物品之间的关系。我们可以通过矩阵来表示这种二元关系。我这里有一个例子,我们用矩阵$X$来表示用户对物品喜好程度。

其中第$i$行是第$i$个用户的数据,而第j列是用户对第j格物品的喜好程度。我们用$x_{i,j}$表示这个数值。这里的喜好程度可以是用户购买商品的次数、对书籍的评分等等。
假设我们用一个0到1之间的小数表示。有了这种矩阵,我们就可以通过矩阵的操作,充分挖掘用户和物品之间的关系。下面,我会使用经典的协同过滤算法,来讲解矩阵在其中的运用。
在此之前,我们先来看什么是协同过滤。你可以把它理解为最直观的“口口相传”。假设我们愿意接受他人的建议,尤其是很多人都向你建议的时候。其主要思路就是利用已有用户群过去的行为或意见,预测当前用户最可能喜欢哪些东西。根据推荐依据和传播的路径,又可以进一步细分为基于用户的过滤和基于物品的过滤。
基于用户的过滤
首先,我们来看基于用户的协同过滤。它是指给定一个用户访问(我们假设有访问就表示有兴趣)物品的数据集合,找出和当前用户历史行为有相似偏好的其他用户,将这些用户组成“近邻”,对于当前用户没有访问过的物品,利用其近邻的访问记录来预测。我画了一张图方便你理解。

根据这张图的访问关系来看,用户A访问了物品A和C,用户B访问了物品B,用户C访问了物品A,C和D。我们计算出来,用户C是A的近邻,而B不是。因此系统会更多地向用户A推荐用户C访问的物品D。
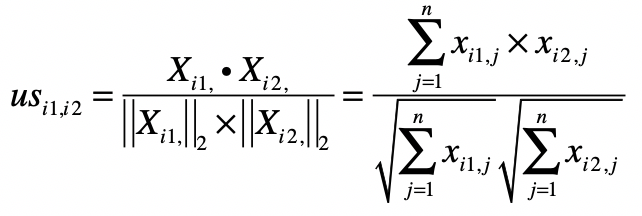
理解了这个算法的基本概念,我们来看看如何使用公式来表述它。假设有m个用户,n个物品,那么我们就能使用一个m×n维的矩阵$X$来表示用户对物品喜好的二元关系。基于这个二元关系,我们可以列出下面这两个公式:

其中,第一个公式比较容易理解,它的核心思想是计算用户和用户之间的相似度。完成了这一步我们就能找到给定用户的“近邻”。
我们可以使用向量空间模型中的距离或者是夹角余弦来处理,在这里我使用了夹角余弦,其中$us_{i1}$,$i2$表示用户$i1$和$i2$的相似度,而$X_{i1}$,表示矩阵中第$i1$行的行向量,$X_{i2}$,表示矩阵中第$i2$行的行向量。分子是两个表示用户的行向量之点乘,而分母是这两个行向量$L2$范数的乘积。
第二个公式利用第一个公式所计算的用户间相似度,以及用户对物品的喜好度,预测任一个用户对任一个物品的喜好度。其中$p_{i,j}$表示第$i$用户对第$j$个物品的喜好度,$us_{i,k}$表示用户$i$和$k$之间的相似度,$x_{k,j}$表示用户$k$对物品$j$的喜好度。注意这里最终需要除以$Σus_{i,k}$,是为了进行归一化。
从这个公式可以看出,如果$us_{i,k}$越大,$x_{k,j}$对最终$p_{i,j}$的影响越大,反之如果$us_{i,k}$越小,$x_{k,j}$对最终$p_{i,j}$的影响越小,充分体现了“基于相似用户”的推荐。
如果你无法理解如何把这两个公式对应为矩阵操作,没关系,我下面会通过之前介绍的喜好度矩阵$X$的示例,把这两个公式逐步拆解,并对应到矩阵上的操作,你一看就能明白了。
首先,我们来看第一个关于夹角余弦的公式。

在介绍向量空间模型的时候,我提到夹角余弦可以通过向量的点乘来实现。这对矩阵同样适用,我们可以采用矩阵点乘自身的转置来实现,也就是$XX’$。矩阵$X$的每一行是某个用户的行向量,每个分量表示用户对某个物品的喜好程度。而矩阵$X’$的每一列是某个用户的列向量,每个分量表示用户对某个物品的喜好程度。
我们假设$XX’$的结果为矩阵$Y$,那么$y_{i,j}$就表示用户$i$和用户$j$这两者喜好度向量的点乘结果,它就是夹角余弦公式中的分子。如果$i$等于$j$,那么这个计算值也是夹角余弦公式分母的一部分。从矩阵的角度来看,$Y$中任何一个元素都可能用于夹角余弦公式的分子,而对角线上的值会用于夹角余弦公式的分母。这里我们仍然使用之前的喜好度矩阵示例,来计算矩阵$Y$和矩阵$US$。
首先我们来看$Y$的计算。

然后我们使用$Y$来计算$US$。我用下面这张图表示矩阵中的元素和夹角余弦计算的对应关系。

明白了上面这个对应关系,我们就可以利用矩阵$Y$,获得任意两个用户之间的相似度,并得到一个m×m维的相似度矩阵$US$。矩阵$US$中$us_{i,j}$的取值为第$i$个用户与第$j$个用户的相似度。这个矩阵是一个沿对角线对称的矩阵。根据夹角余弦的定义,$us_{i,j}$和$us_{j,i}$是相等的。通过示例的矩阵$Y$,我们可以计算矩阵$US$。我把相应的结果列在了下方。

接下来,我们再来看第二个公式。

从矩阵的角度来看,现在我们已经得到用户相似度矩阵$US$,再加上用户对物品的喜好度矩阵$X$,现在需要计算任意用户对任意物品的喜好度推荐矩阵$P$。
为了实现上面这个公式的分子部分,我们可以使用$US$和$X$的点乘。我们假设点乘后的结果矩阵为$USP$。这里我列出了根据示例计算得到的矩阵$USP$。

分母部分可以使用$US$矩阵的按行求和来实现。我们假设按行求和的矩阵为$USR$。根据示例计算就可以得到$USR$。

最终,我们使用$USP$和*$USR$的元素对应除法,就可以求得矩阵$P$。

既然已经有$X$这个喜好度矩阵了,为什么还要计算$P$这个喜好度矩阵呢?实际上,$X$是已知的、有限的喜好度。例如用户已经看过的、购买过的、或评过分的物品。而$P$是我们使用推荐算法预测出来的喜好度。
即使一个用户对某个物品从未看过、买过、或评过分,我们依然可以通过矩阵$P$,知道这位用户对这个物品大致的喜好程度,从而根据这个预估的分数进行物品的推荐,这也是协同过滤的基本思想。从根据示例计算的结果也可以看出这点,在原始矩阵$X$中第1个用户对第3个物品的喜好度为0。可是在最终的喜好度推荐矩阵P中,第1个用户对第3个物品的喜好度为0.278,已经明显大于0了,因此我们就可以把物品3推荐给用户1。
上面这种基于用户的协同过滤有个问题,那就是没有考虑到用户的喜好程度是不是具有可比性。假设用户的喜好是根据对商品的评分来决定的,有些用户比较宽容,给所有的商品都打了很高的分,而有些用户比较严苛,给所有商品的打分都很低。分数没有可比性,这就会影响相似用户查找的效果,最终影响推荐结果。这个时候我们可以采用之前介绍的特征值变化,对于原始的喜好度矩阵,按照用户的维度对用户所有的喜好度进行归一化或者标准化处理,然后再进行基于用户的协同过滤。
基于物品的过滤
基于物品的协同过滤是指利用物品相似度,而不是用户间的相似度来计算预测值。我同样用图来帮助你理解。

在这张图中,物品A和C因为都被用户A和B同时访问,因此它们被认为相似度更高。当用户C访问过物品A后,系统会更多地向用户推荐物品C,而不是其他物品。
基于用户的协同过滤同样有两个公式,你可以看一下。

如果你弄明白了基于用户的过滤,那么这两个公式也就不难理解了。第一个公式的核心思想是计算物品和物品之间的相似度,在这里我仍然使用夹角余弦。其中$is_{j1}$,$j2$表示物品$j1$和$j2$的相似度,而$X_{j1}$表示了$X$中第$j1$列的列向量,而$X_{j2}$表示了$X$中第$j2$列的列向量。分子是两个表示物品的列向量之点乘,而分母是这两个列向量$L2$范数的乘积。
第二个公式利用第一个公式所计算的物品间相似度,和用户对物品的喜好度,预测任一个用户对任一个物品的喜好度。其中$p_{i,j}$表示第$i$用户对第$j$个物品的喜好度,$x_{i,k}$表示用户$i$对物品$k$的喜好度,$is_{k,j}$表示物品$k$和$j$之间的相似度,注意这里除以$Σis_{k,j}$是为了进行归一化。从这个公式可以看出,如果$is_{k,j}$越大,$x_{i,k}$对最终$p_{i,j}$的影响越大,反之如果$is_{k,j}$越小,$x_{i,k}$对最终$p_{i,j}$的影响越小,充分体现了“基于相似物品”的推荐。
类似地,用户喜好程度的不一致性,同样会影响相似物品查找的效果,并最终影响推荐结果。我们也需要对于原始的喜好度矩阵,按照用户的维度对用户的所有喜好度,进行归一化或者标准化处理。
总结
今天我首先简要地介绍了推荐系统的概念和主要思想。为了给用户提供可靠的结果,推荐系统需要充分挖掘历史数据中,用户和物品之间的关系。协同过滤的推荐算法就很好地体现了这一点。
一旦涉及用户和物品的这种二元关系,矩阵就有用武之地了。我通过矩阵来表示用户和物品的关系,并通过矩阵计算来获得协同过滤的结果。协同过滤分为基于用户的过滤和基于物品的过滤两种,它们的核心思想都是相同的,因此矩阵操作也是类似的。在这两个应用场景下,矩阵点乘体现了多个用户或者物品之间的相似程度,以及聚集后的相似程度所导致的最终推荐结果。
当然,基于用户和物品间关系的推荐算法有很多,对矩阵的操作也远远不止点乘、按行求和、元素对应乘除法。我后面会介绍如何使用矩阵的主成分分析或奇异值分解,来进行物品的推荐。
思考题
我在介绍推荐算法时,提到了基于物品的协同过滤。请参照基于用户的协同过滤,写出相应的矩阵操作步骤。
欢迎留言和我分享,也欢迎你在留言区写下今天的学习笔记。你可以点击“请朋友读”,把今天的内容分享给你的好友,和他一起精进。

精选留言
是选择基于用户的协同过滤还是基于物品的协同过滤,要考虑用户和物品哪一个维度数量比较少,相乘后产生的矩阵小,可以这样理解么?